P fois par exemple 2 5 2222232. Pour obtenir la racine carrée il suffit de faire sqrtA.
Proprietes Des Racines Carrees
Et bien différent de IV Racine carrée dune soustraction.
Racine carré d'une somme. Il sagit de lélément actuellement sélectionné. Racine carrée dune somme ou dune différence. Comprendre les racines carrées.
Jai une remarque concernant ce genre de suite. Nous voulons trouver une matrice B telle que. R a ppel.
Par exemple 9 3 car 3 3 3² 9. Comment rendre un dénominateur rationnel 1. 1 - Puissances et racines carrées.
Prenons à titre dexemple la somme 650 - 28 512. Vous êtes décrivant la quatrième racine pas de la racine carrée. Simplification dune somme de racine carré exercice de algèbre - Forum de mathématiques.
Simplifier le quotient de deux racines carrées. La racine carrée dun nombre x correspond au nombre y qui pourra être multiplié par lui-même et qui résultera du nombre x. - que la racine carrée dun nombre n est le nombre positif y tel que yyn par exemple la racine de.
Quest ce quune racine carrée. Racine carrée Réduire une somme 28 et 2348. Une matrice donnée peut nadmettre aucune racine carrée comme un nombre fini voire infini de racine carrées.
25 9 16 4 mais 25 9 5 3 2 Donc. Un élément R de Mn A est une racine carrée de M si R2 M. 10 points de moins que le total des estimations à 90 de fiabilité.
Comment rendre un dénominateur rationnel 2. Les nombres qui sont à lextérieur des racines sont appelés coefficients et ceux qui sont dessous sont des radicandes. Théorème des deux carrés cas général Un entier supérieur ou égal à 1 est somme de deux carrés si et seulement si chacun de ses facteurs premiers de la forme 4 k 3 intervient à une puissance paire.
Une somme de racines carrées. 16 9 16 9. 25 9 25 9.
Trouvez la racine carrée dun carré parfait. Comment rendre un dénominateur rationnel 1. Simplifier la racine cubique dun monôme de trois variables.
Ainsi si vous voyez 25 en radicande vous savez tout de suite que la réponse sera 5 car 25 est le carré de 5. - quun nombre n élévé à une puissance p est le résultat du produit de n par n par n par n. Retenons quen général.
Cest des choses simples. Racine carrée dune somme. Racine carrée dune différence.
Si vous repérez un de ces carrés parfaits sous une racine cest simple. Une fois que cest fait prenez la racine du nombre qui est un carré parfait et sortez-la de la racine. La racine carrée dune soustraction ne se transforme pas en soustraction de racines carrées.
La racine carrée du quotient de deux nombres strictement positifs est égale au quotient des deux racines carrées. Comprendre les racines carrées. Le total de lestimation est donc de 24 11 soit 35.
A b a b2 2 a b a b2 2. Comment rendre un dénominateur rationnel 2. Vous enlevez le signe et vous inscrivez le nombre de départ.
Supposons quil est lun des principaux de la matrice A. Cours netproffr de Mathématiques SecondeProf. La somme des carrés des différences faisant 111 la racine carrée est égale à 11 arrondie Le buffer à considérer est donc de 11.
Pour mesurer le risque total de toute valeur mobilière on prend simplement la racine carrée de la somme des carrés de ces coefficients. Le calcul effectué est celui de la racine carrée de la somme des carrés loi de Gauss sur la propagation des erreurs. Comment racine carrée dune matrice dans la R.
A b a b a b a b De même. Il ny aura alors plus que le facteur restant sous celle-ci. Simplifier la racine cubique dun monôme de trois variables.
Nous avons vu. Il faut dans un premier temps sassurer que la suite est bien définie cest à dire que 18022013 11h54 4. La racine carrée dune somme nest jamais égale à la somme des racines carrées des nombres composant laddition.
Simplifier le quotient de deux racines carrées. Soient un entier naturel n non nul et M une matrice carrée dordre n à coefficients dans un anneau A. Nous avons déjà vu en quatrième les puissances et les racines carrées.
Racine carrée dune somme dune différence Contre-exemples. Une somme de racines carrées. 16 9 25 5 mais 16 9 4 3 7 Donc.
Pour la quatrième racine ne A14. Racine carrée Réduire une somme 28 et 2348 Règles de calcul - seconde cours mathématiques - YouTube. Ainsi 30 235 nest pas somme de carrés car dans sa décomposition en facteurs premiers 3 intervient avec un exposant 1.
Proprietes Des Racines Carrees

Calculer Le Carre Et L Inverse Du Nombre N Ecrit Sous La Forme N A Racine Carree De B

Lecon Fonctions Calculs De Limites Calculs De Limites

Racines Carrees Definition Developper Avec La Distributivite Produit 1 Ppt Telecharger

Une Somme De Racines Carrees Youtube

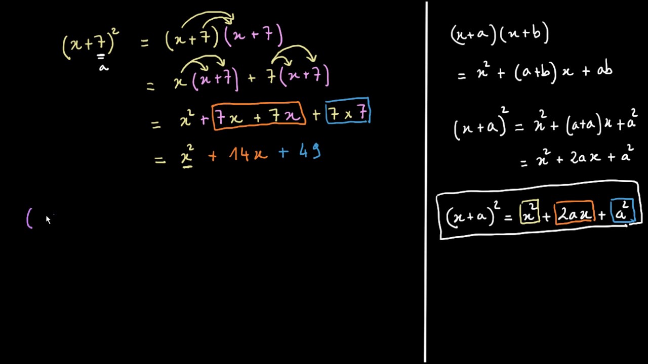
Developper Le Carre D Une Somme Youtube

Lecon Fonctions Calculs De Limites Calculs De Limites

Demontrer Que La Racine Carree D Une Somme Est Strictement Inferieure A La Somme Des Racines Carrees Youtube
ads
Acqua Sustentavel
Search This Blog
Blog Archive
- January 2023 (10)
- May 2022 (21)
- April 2022 (23)
- March 2022 (24)
- February 2022 (26)
- January 2022 (25)
- December 2021 (26)
- November 2021 (26)
- October 2021 (26)
- September 2021 (29)
- August 2021 (31)
- July 2021 (31)
- June 2021 (30)
- May 2021 (31)
- April 2021 (43)
- March 2021 (30)
- February 2021 (28)
- January 2021 (31)
- December 2020 (31)
- November 2020 (30)
- October 2020 (31)
- September 2020 (29)
- August 2020 (31)
- July 2020 (31)
- June 2020 (31)
- May 2020 (31)
- April 2020 (29)
- March 2020 (6)
Labels
- 1965
- 19ème
- abdos
- accompagnement
- accroche
- acordes
- actualiser
- adaptateur
- adelaide
- adieu
- adjectif
- administrator
- adobe
- adresse
- advance
- afficher
- agent
- aimer
- ajouter
- aketo
- alanis
- alchemist
- alfred
- algerien
- alignés
- allemand
- alternance
- aluminium
- american
- amical
- amorcage
- amour
- amoureux
- amperage
- ampoule
- analogique
- analyse
- ancienne
- anciennes
- android
- anglais
- animal
- animé
- anniversaire
- annonce
- annule
- answers
- antislash
- apéritif
- aplatir
- appeler
- apprendre
- après
- arabe
- arbre
- arraché
- as405
- assistant
- asticots
- asynchrone
- attacher
- attendre
- attention
- auburn
- aucun
- audio
- aujourdhui
- autant
- avaler
- avance
- avant
- aventures
- aveugles
- avoir
- badoo
- baguette
- bananes
- bannir
- barbarie
- barnes
- bassa
- battant
- batterie
- battle
- beatitudes
- beauté
- bebek
- become
- besoin
- beton
- bicarbonate
- biere
- bipolaire
- bisous
- black
- blade
- blague
- blanc
- blanche
- boeuf
- boire
- boisson
- boite
- bones
- bonheur
- bonjour
- bonne
- bordé
- bosch
- bouche
- bougie
- bouteille
- brevet
- brick
- brioche
- briquet
- broché
- brotherhood
- broute
- bruit
- cafc3a9
- caiman
- calage
- calcul
- calculer
- caline
- calling
- calorie
- camera
- camus
- canard
- capacité
- capricorne
- capture
- caractères
- cardiaque
- carré
- carrelage
- carrosse
- carte
- cartouche
- casbah
- casse
- catalani
- cathédrale
- celui
- centre
- cercle
- chaine
- chaines
- chaleurs
- champignons
- chance
- changer
- chanson
- chanteur
- chaque
- chara
- charge
- chargeur
- charlie
- chaton
- chats
- chaudière
- chaudron
- chaussures
- chauve
- cheesecake
- cheque
- cheval
- cheveux
- chevilles
- chevre
- chewing
- chien
- chocolat
- choix
- choses
- chrome
- chronological
- classe
- classement
- classer
- clavier
- clément
- click
- clignotant
- coccinelle
- cochon
- cocker
- coefficient
- coiffeurs
- colle
- collé
- college
- colombo
- colorant
- combat
- combien
- commencant
- comment
- commenter
- communication
- completer
- comprendre
- compromis
- compte
- comptes
- condensateur
- configurer
- confirmation
- congeler
- connaitre
- conservation
- conserver
- construisons
- consulat
- conteneur
- contexte
- contrat
- contre
- convaincre
- convertir
- convertis
- copain
- coronets
- corps
- correcteur
- correspond
- cosse
- costa
- costume
- couleurs
- coulissant
- couples
- crapette
- creme
- crepes
- creux
- crocodile
- cruising
- cuire
- cuisson
- cuivre
- daimer
- dalgerie
- dalle
- damour
- danger
- dappartement
- daprès
- david
- débloquer
- debouz
- décalé
- décharge
- décoller
- decoupe
- décran
- decroissante
- dégrader
- degres
- delete
- delisa
- demande
- démarrage
- demarreur
- demontrer
- demploi
- dencre
- dénominateur
- dépisodes
- dérivée
- derrière
- désactiver
- deskjet
- despelette
- dette
- devant
- devenus
- devient
- dhotel
- didentité
- dièse
- difference
- différence
- dimensions
- dincubation
- disposer
- disque
- dissertation
- distance
- doigt
- doliprane
- donne
- dorigine
- dormir
- dormis
- douloureuse
- dragon
- driver
- drivers
- droit
- durée
- durite
- échanges
- eclair
- éclair
- effacé
- effrayer
- église
- egyptien
- emile
- emission
- empecher
- emploi
- emulateur
- enceinte
- enlever
- ensembles
- entend
- entre
- entrée
- envahissante
- enveloppe
- envoie
- envoies
- envoit
- episode
- équation
- équilibrer
- ernest
- escargot
- espaces
- espagnol
- essence
- etang
- éteindre
- etoile
- excuse
- exotique
- explain
- explications
- expression
- externe
- extra
- faire
- faisant
- faite
- fast
- fatiguent
- fecule
- femelle
- femme
- femmes
- fermeture
- feuilles
- feuilletée
- fiche
- fichier
- fichiers
- filer
- flamme
- flash
- fleurit
- fleuve
- folie
- fonctions
- food
- format
- formation
- formule
- fraîches
- franc
- francais
- français
- france
- francisco
- french
- frère
- frigo
- fromage
- frotte
- frottent
- fruit
- fruits
- fuite
- fujitsu
- fusionner
- gabonais
- garçon
- gauche
- gaulle
- gaziniere
- gelée
- gemeaux
- gentil
- germinal
- gestation
- gettin
- gigaset
- gonflé
- gonflée
- grains
- graisse
- gramme
- grand
- grande
- grandir
- gratter
- gratuit
- grenouille
- grillées
- grosse
- grossesse
- guernica
- guitare
- halal
- harry
- heart
- hearts
- hectare
- hérisson
- heroes
- heros
- hilti
- hirondelle
- hirsch
- hiver
- homme
- hommes
- honey
- horse
- hourdis
- huitre
- humaine
- humide
- humidifier
- humidity
- idtgv
- image
- impel
- imprimante
- imprimé
- imprimer
- inconvénients
- indian
- indiens
- indisponible
- induction
- inscription
- installer
- interdit
- interface
- interpretation
- inverser
- invisible
- irlande
- itachi
- italien
- jacques
- jallume
- jaloux
- jambe
- japonais
- jardin
- jaune
- jaunes
- jentends
- jeopardy
- jeremih
- joconde
- joint
- joints
- josephine
- journée
- joyeux
- jugent
- juridique
- jusqua
- justificatif
- kamel
- kamichama
- karin
- kind
- klaxon
- labimer
- labret
- laisser
- lalbum
- lalcool
- lambert
- lamertume
- lamour
- langue
- langues
- lapin
- largent
- larmes
- lasagne
- lasagnes
- laurent
- lavion
- lazare
- lecture
- leffectif
- legume
- lenfer
- leonard
- leroy
- lespagnol
- lettre
- lettres
- levre
- lextension
- lézards
- lhérisson
- libre
- ligne
- litre
- liveplug
- livre
- loeil
- loeuf
- louest
- lover
- lucie
- lucile
- lumiere
- lumineux
- lupins
- machine
- magic
- magique
- mains
- maitre
- maitresse
- manette
- mangé
- mangent
- manger
- manpower
- manques
- marche
- marco
- marié
- mario
- marketing
- marron
- masse
- matelas
- matinée
- matrice
- mattaque
- mauvais
- meaning
- mélange
- merlin
- mesure
- mesurer
- metal
- mettre
- meubles
- micro
- micromat
- micron
- mieux
- might
- mimosa
- minute
- miracle
- miroir
- miscible
- moisi
- molette
- monde
- monitoring
- monopoly
- monsieur
- monte
- monter
- morissette
- motivation
- moules
- mousse
- moyenne
- mozilla
- multimètre
- muppet
- murale
- murier
- murmurait
- mushroom
- musique
- mutinerie
- nageur
- nardin
- nettoyer
- neutre
- neuvieme
- never
- nikoumouk
- niveau
- nogba
- noires
- nombre
- nombril
- notion
- nouilles
- nouvelles
- numerique
- numériser
- numero
- numéro
- numérotation
- office
- olympique
- online
- orange
- order
- ordinaires
- ordinateur
- ordre
- oreille
- oreilles
- organiques
- orthographe
- orthonormé
- otarie
- ouali
- ouragan
- outlook
- paille
- paint
- pairs
- palette
- palmier
- pansement
- parallélogramme
- parcourir
- parents
- parfait
- parfum
- paris
- parlée
- paroles
- partout
- passe
- passer
- pastille
- pattes
- paumés
- pause
- peindre
- peinture
- pensée
- pensionnat
- percer
- perdu
- périmé
- périmètre
- permanganate
- perret
- personnage
- personnes
- pertes
- peser
- petit
- peugeot
- phase
- philadelphia
- photo
- photographie
- photoshop
- pièce
- piercing
- pierre
- pigment
- pignon
- pilote
- pilule
- piment
- piquent
- pirvox
- piscine
- pixel
- placo
- plafond
- planètes
- planter
- platane
- player
- pleine
- pleurer
- pluriel
- plusieurs
- pochette
- poème
- poésie
- poignée
- point
- pointillés
- poisson
- police
- polity
- pomme
- pompe
- ponts
- populaire
- portable
- porte
- positif
- poste
- potter
- poubelle
- pouce
- poudre
- poule
- poulet
- pound
- pourcentage
- pourquoi
- powerpoint
- practice
- précision
- précuisson
- préférée
- prendre
- prénom
- préparer
- preuve
- prière
- primaire
- prise
- private
- privileges
- problématique
- profil
- propose
- propre
- protique
- prouver
- psycho
- quallah
- quand
- quantite
- quatre
- quelle
- quelqu
- quelquun
- quenseigne
- quest
- questions
- quitté
- quitter
- quiz
- racine
- racines
- raclette
- radian
- radis
- ralenti
- rapée
- rapidement
- realtek
- reboucher
- recherche
- récupérer
- redresser
- reduire
- réellement
- regarde
- regarder
- regardes
- regle
- règle
- relation
- relié
- remede
- remplacer
- remplir
- renault
- rencontré
- rendre
- rendu
- rendus
- renversé
- reparer
- repas
- repasser
- réponse
- resine
- résine
- resort
- restauration
- resultat
- résumé
- retirer
- retourne
- rétrécir
- rever
- reverrais
- rica
- robinet
- robot
- rouge
- roule
- ryanair
- rythme
- saint
- saisie
- salive
- sallume
- samsung
- sanglier
- sappelle
- saucisses
- savoir
- savon
- scarlatine
- scotch
- scroll
- secondaire
- secret
- seffiloche
- seguin
- semoule
- semouse
- sennuie
- serie
- servant
- server
- shape
- shippuden
- shugo
- signal
- signe
- signification
- siphon
- sirop
- sniper
- solitaire
- solution
- solvant
- somme
- sommeil
- songs
- sonne
- sonneries
- sorry
- soude
- souffrir
- souhaiter
- souris
- spermatozoides
- spirit
- sport
- sports
- stade
- stars
- state
- streaming
- string
- sucre
- suggérer
- suite
- supernatural
- support
- supprimer
- suricate
- surveillant
- suspend
- suspendre
- synchrone
- syndrome
- tabac
- taille
- tailler
- taime
- téléchargements
- telecharger
- télécharger
- télécommande
- temperature
- temps
- tenir
- terrain
- terre
- terrien
- testament
- texte
- thank
- thermostat
- thiefaine
- thrones
- timbre
- timon
- tirer
- tissu
- toilette
- tomate
- tombe
- tomettes
- tonnerre
- torrent
- toshiba
- toucher
- tourne
- tournois
- toutes
- traces
- trading
- traduction
- trait
- traitant
- transmission
- transport
- travers
- trema
- triangle
- triangles
- triche
- trigonomc3a9trie
- tristesse
- trivia
- trois
- trouve
- trouver
- tuiles
- tunisienne
- tutoyer
- tuyaux
- twingo
- ushuaia
- usine
- vaisselle
- validation
- valley
- veille
- velizy
- vente
- ventouse
- vérifier
- vernis
- verres
- verseau
- vetement
- vêtement
- viande
- victoire
- vidange
- video
- vieille
- vinci
- virus
- visual
- vitre
- vitro
- vivent
- voile
- voisine
- voiture
- volume
- vostfr
- voulais
- voyant
- weight
- white
- windows
- woogie
- world
- xv48dt
- youtube
- zabou
- zigzag
-
100+ Indian Polity MCQs for Competitive Exams [PDF] . Indian Polity is an integral part of almost every competitive exam. It’s a scori...
-
Horse Racing BBC Sport . Horse Racing Results Latest results and racecards Check out all the results and runners from British and Iris...
-
Billboard Year-End Hot 100 singles of 1965 Wikipedia . Web101 rows Year-End Hot 100 singles of 1965. This is a list of Billboard maga...
